Nel pieno della stagione motociclistica è il momento di dedicare un po' di attenzione alla propria moto. Ci siamo recati presso la Motorquality (distributore Brembo) per dare uno sguardo a ciò che si nasconde dietro la sostituzione delle pastiglie
30 maggio 2012
E' facile dare per scontato alcune cose. Tra queste troviamo i famosi materiali di consumo. Elementi che ciclicamente dobbiamo rimpiazzare con qualcosa di nuovo proprio perché l'usura ha preso il sopravvento e non possiamo più fare a meno di rinnovarli. Tra tanti ricambi le pastiglie freno rappresentano forse la componente più significativa di una pratica tanto comune e allo stesso tempo troppo spesso minimizzata.
Sembra semplice prendere una coppia di pastiglie dallo scaffale di un rivenditore o di un'officina e sostituirle con le proprie ormai ridotte all'osso. In realtà la scelta di tali componenti deve passare attraverso alcune fondamentali considerazioni.
La prima è relativa al fatto che l'azione delle pastiglie (naturalmente combinata a tutto l'impianto frenante) svolge un ruolo fondamentale nella dinamica della moto o scooter che sia. Se volessimo semplificare potremmo pensare che, se per accelerare in pochissimi secondi occorre un motore con parecchi cavalli, decelerare dalla stessa velocità ottenuta e nello stesso l'intervallo di tempo richiede la stessa potenza. Da ciò deriva che molto più spesso di quanto pensiate l'impianto frenante è la cosa più potente che avete sulla vostra moto.
La seconda riguarda le numerose famiglie motociclistiche (strada, pista, off-road, scooter, tourer, ecc.) e quindi i differenti e conseguenti stili di guida dei motociclisti, che hanno regalato le fondamenta di una diversificazione radicale delle caratteristiche degli impianti frenanti e di conseguenza delle pastiglie stesse. Questo aspetto ha trasformato i costruttori di pastiglie in veri e propri alchimisti capaci di miscelare sapientemente i molteplici elementi che compongono la mescola di una pastiglia freno in base al risultato che si desidera ottenere.
Entrambi i presupposti dovrebbero lasciar intendere che la sostituzione delle pastiglie non rappresenta certo una banalità da sottovalutare, ma un'occasione ghiotta per affinare e perfezionare il rapporto con la propria motocicletta.
LA MESCOLA GIUSTA
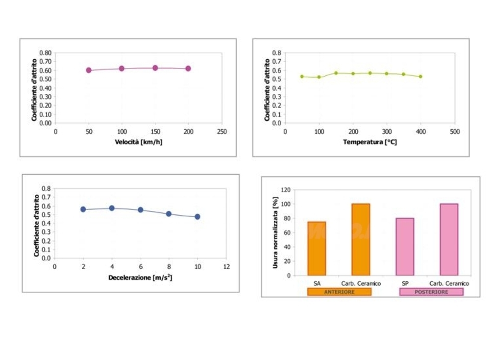
Il coefficiente d'attrito e la temperatura
Due dita strizzano la leva del freno; la forza cinetica accumulata da una moto in movimento si riduce e questa energia si trasforma in calore. Tutto qua? Sì, ma non è roba da poco. Per tenere a bada questo processo ed affinare sempre di più la fase di frenata occorrono ore ed ore sui banchi prova e chilometri di test su strada e pista; almeno questo è quanto fatto da Brembo, madre di tutti gli impianti freno e leader di settore da molti anni.
Il compromesso di una pastiglia è quindi tra quanto frena e la capacità di garantire questa prestazione a diverse temperature di esercizio. Si tratta di due aspetti inscindibili a cui possiamo aggiungere come terzo incomodo la durata, ovvero quante frenate vi separano dalla sostituzione delle pastiglie. Una sfida che si rinnova stagione dopo stagione anche grazie all'evoluzione dei pneumatici capaci di garantire sempre maggiore grip e come conseguenza offrire la possibilità di costruire pastiglie sempre più efficaci.
Organiche o sinterizzate?
Esistono due grandi famiglie che raggruppano le mescole delle pastiglie, le organiche e le sinterizzate. La differenza si trova nell'impasto che compone la parte desinata all'attrito contro il disco e nel processo produttivo della pastiglia stessa. Per le organiche il coefficiente d'attrito si genera grazie a resine leganti combinate a polveri metalliche, a cui si aggiungono abrasivi per tenere puliti i dischi e lubrificanti per garantire un'azione frenante fluida e senza strappi. Le sinterizzate invece non possiedono resine leganti; in questo caso le polveri metalliche che generano il coefficiente d'attrito, così come abrasivi e lubrificanti, vengono agglomerate tra loro attraverso un processo ad alta temperatura e pressione capace di saldare perfettamente il tutto.
In genere le sinterizzate sono considerate più sportive perché non hanno la stretta necessità di subire un rodaggio termico per garantire le migliori prestazioni, tuttavia il campo d'impiego non si lega così strettamente a questa suddivisione visto che esistono ottime pastiglie racing di tipo organico e altrettanto efficaci pastiglie stradali sinterizzate.
La pastiglia perfetta
Scegliere una pastiglia piuttosto che un'altra dovrebbe potersi fondare sulla conoscenza di piccole ma preziose regole. La più risolutiva è quella di farsi una bella domanda, ovvero: qual è la mia reale esigenza? Rispondere con coscienza è sufficiente per porci nella direzione giusta, ci mette nella condizione di non sbagliare e poter contare sulla migliore tecnologia sviluppata per il nostro specifico utilizzo.Visto che siamo in casa Brembo l'occasione è ghiotta per analizzare anche attraverso i grafici messi a nostra disposizione le proposte alternative.
Mescole Racing
Tutti in griglia, il semaforo si spegne, gas e si parte per percorrere i giri stabiliti nel più breve tempo possibile magari lasciandosi alle spalle tutti gli avversari.
Mescola Z04: Altissimo coefficiente d'attrito; utilizzata nelle competizioni del Motomondiale nel Mondiale Superbike e Supersport. Vera punta di diamante dell'offerta Brembo
Con questi presupposti le caratteristiche salienti che caratterizzano le mescole delle pastiglie racing riguardano la volontà di garantire un alto coefficiente d'attrito ad alte temperature d'esercizio evitando il manifestarsi dell'effetto fading (ovvero la tendenza a perdere potenza frenante all'aumentare della temperatura d'esercizio) e garantendo questa prestazione dal primo all'ultimo giro, ovvero un'ottima costanza di rendimento.
Mescole Road
Non importa che sia una gita fuori porta o il viaggio delle vacanze, una pastiglia stradale dovrà garantire un ottimo coefficiente d'attrito fin dalle basse temperature, un buon rendimento chilometrico e scarsa interazione con gli agenti atmosferici.
Mescole Scooter
L'utilizzo urbano viene caratterizzato da continue e ripetute frenate attraverso dischi di più moderate dimensioni (spesso del disco posteriore) e dalla necessità di poter contare su un rendimento costante in ogni frangente climatico e di temperatura oltre che un eccellente durata chilometrica.
Mescole off-road
In questo caso entrano in gioco fattori come polvere, fango e sabbia. Una buona pastiglia da off-road deve poter garantire modulabilità, insensibilità ai cambiamenti climatici e nel campo d'utilizzo del cross e del supermotard saper garantire anche un buon coefficiente d'attrito.
L'IMPIANTO FRENANTE
Mantenere in perfetta efficienza il proprio impianto rende giustizia ai progettisti e produttori. Ecco una serie di consigli ed accorgimenti per garantirsi il 100% del suo potenziale.
La sostituzione delle pastiglie
Un indiscutibile vantaggio degli impianti frenanti a disco è la velocità e relativa facilità della sostituzione delle pastiglie. Pochi attrezzi e una buona coscienza di ciò che si sta facendo pone anche l'utilizzatore medio in condizione di “operare” senza particolari problemi. Tuttavia attenti. Se non siete sicuri di ciò che state facendo meglio lasciar perdere; affidatevi ad un meccanico esperto e concentratevi sul rodaggio delle pastiglie appena montate.
Non c'è dubbio che una buona fase di rodaggio garantirà prestazioni migliori. Esistono due aspetti di questa fase: il rodaggio termico (più importante per le pastiglie dotate di mescole organiche) e un rodaggio meccanico, ovvero il più preciso l'accoppiamento tra disco e pastiglia. Entrambe si basano su un ciclo di frenate leggere da 70-80 Km/h fino a circa 30 Km/h in un tempo di 3/4 secondi. Aspettatene un'altra quindicina e ripete l'operazione più volte in base al tipo di mescola utilizzata, le più tenere avranno bisogno di un minor numero di cicli, viceversa le più dure un numero maggiore.
Quando sostituirle?
Solo in alcuni casi (per lo più automobilistici) un circuito elettrico si “chiude” quando lo spessore della pastiglia riducendosi raggiunge un filamento che tocca il disco ed invia il segnale di accensione di una spia del cruscotto che vi invita alla sostituzione delle pastiglie. Per le moto invece tutto è in bella vista, è sufficiente buttare l'occhio per rendersi conto di quanto materiale ci separa dall'esaurimento delle pastiglie. Se si volesse essere più precisi sarebbe sufficiente smontarle e misurare lo spessore in modo più preciso magari con un calibro.
Gamma Brembo
In questo caso vale la pena fare due considerazioni, la prima è che verificando eventuali differenze di spessore tra testa e coda e tra alto e basso è possibile accorgersi di eventuali comportamenti anomali dei pistoncini delle pinze. La seconda è che non è mai utile indugiare sulla sostituzione quando il materiale d'attrito è inferiore ad 1/3 o 1/4 del totale. Ciò dipende dal fatto che scarso materiale trasferisce molto più calore al fluido dei freni peggiorando sensibilmente le prestazioni e inducendo il fatidico Vapor Lock ovvero la tendenza alla produzione di bolle di vapore all'interno del fluido dei freni e porta come conseguenza l'inevitabile allungamento della leva e quindi l'inefficacia della frenata.
Anche i dischi si consumano
Non c'è dubbio che la vita di un disco sia ben più lunga rispetto a quella delle pastiglie, tuttavia considerate che una pista frenante troppo assottigliata può, nella migliore delle ipotesi deformarsi creando squilibri e vibrazioni nell'azione di frenata, oppure, nel peggiore dei casi, rompersi. Per rendersi conto di quale sia il limite di consumo della pista frenante occorre leggere ciò che viene inciso dai costruttori sulla zona della flangia (la zona che separa la pista dal collegamento con il mozzo della ruota). Si tratta di una scritta che letteralmente recita “MIN TH=Xmm” dove il valore di X è appunto lo spessore minimo consentito. Considerate che in genere non si dovrebbe superare un consumo superiore al mezzo millimetro.
Pistoncini puliti
Per le pinze occorre invece porre attenzione al lavoro dei pistoncini, questi infatti spinti dal liquido freni sotto la pressione della pompa, spingono a loro volta le pastiglie contro la pista frenante. Se il loro lavoro non è “pulito” potrebbero verificarsi consumi anomali e un resa dell'impianto non ottimale. E' sufficiente smontare le pastiglie, togliere la pinza dalla flangia lasciandola appesa alla tubazione, dare una lieve pressione alla pompa per estrarre di qualche millimetro i pistoncini e ripulirli al meglio affidandosi ai detergenti specifici facilmente rintracciabili in commercio. L'importante è evitare solventi o detergenti troppo aggressivi, spesso un po' d'acqua ed un sapone neutro sono sufficienti per assicurare un buon lavoro. Questa operazione garantirà il massimo potenziale dell'impianto oltre che il miglior Roll-back ovvero il “ritorno” dei pistoncini e quindi l'allontanamento delle pastiglie dal disco quando si interrompe l'azione frenante. Si tratta di una allontanamento molto contenuto (circa 0,3mm) ma molto importante al fine di evitare che il disco rimanga anche solo leggermente frenato quando non lo si desidera.
L'operazione di spurgo
Si tratta di una pratica molto importante che necessariamente deve essere fatta ogni volta che si procede alla sostituzione del liquido freni ma che si può ripetere quando si percepisce un allungamento della leva ed un conseguente peggioramento delle prestazioni. Premesso che qualsiasi bolla d'aria all'interno dell'impianto provoca l'inefficacia dell'azione frenante, l'operazione di spurgo mira appunto ad eliminare qualsiasi bolla d'aria. L'operazione è semplice, quasi robotica. Si preme la leva e la si mantiene premuta, si apre la valvolina di spurgo sulla pinza, la si richiude, e solo allora si rilascia la leva del freno. Procedere in questo modo, a più riprese, magari rabboccando il liquido freni nella vaschetta di contenimento, vi consentirà di garantire una precisa e “piena” continuità di liquido assolutamente fondamentale per garantire il massimo in termini di risposta dell'azione frenante.
di Alberto Raverdino,
con un particolare ringraziamento a Bruno Lonati (Motorquality distributore Brembo).
Abbiamo notato che stai usando uno strumento che blocca gli annunci pubblicitari
Disattiva l'Ad Blocker e naviga gratuitamente
Dopo aver disattivato l'Ad Block
Abbonati per navigare senza pubblicità
Disdici quando vuoi
Come disattivare l'Ad Blocker
Fai clic sull'icona dell'estensione per il blocco annunci installata sul tuo
browser. In genere l'icona si trova nell'angolo in alto a destra dello schermo. Potrebbero
essere installati più blocchi annunci.
Segui le istruzioni per disattivare il blocco annunci sul sito.
Potresti dover selezionare un'opzione del menu o fare clic su un pulsante.
Aggiorna la pagina seguendo le istruzioni o facendo clic sul pulsante
"Aggiorna" o "Ricarica" del browser.